Volume 23 Issue 12
Dec.  2025
Turn off MathJax
Article Contents
HOU Hui, WAN Yan, ZHU Congyan, LI Bowen, CHEN Li. A prediction model for enteral nutrition interruption after gastric cancer surgery established using machine learning algorithms[J]. Chinese Journal of General Practice, 2025, 23(12): 2143-2147. doi: 10.16766/j.cnki.issn.1674-4152.004311
Citation: HOU Hui, WAN Yan, ZHU Congyan, LI Bowen, CHEN Li. A prediction model for enteral nutrition interruption after gastric cancer surgery established using machine learning algorithms[J]. Chinese Journal of General Practice, 2025, 23(12): 2143-2147. doi: 10.16766/j.cnki.issn.1674-4152.004311

A prediction model for enteral nutrition interruption after gastric cancer surgery established using machine learning algorithms

doi: 10.16766/j.cnki.issn.1674-4152.004311
Funds:

 82473055

  • Received Date: 2025-01-16
    Available Online: 2026-03-13
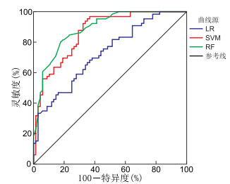
  •   Objective  Gastric cancer patients face a high risk of enteral nutrition interruption (ENI) after surgery. However, no consensus has been reached regarding the factors influencing postoperative ENI. This study aims to develop an individualized risk prediction model for postoperative ENI in gastric cancer patients using machine learning algorithms based on clinical data, thereby providing guidance for the assessment, prevention, and management of ENI.  Methods  A total of 190 patients with gastric cancer were recruited from Ward 1 and Ward 2 of the Department of General Surgery (Gastric Surgery Division) at the First Affiliated Hospital of Nanjing Medical University between May 2023 and April 2025. Patients were randomly divided into a training set (n=133) and a validation set (n=57) in a ratio of 7∶3. Three machine learning algorithms, namely logistic regression (LR), random forest (RF), and support vector machine (SVM), were adopted to construct prediction models, and model performance were analyzed. The optimal model performance was verified using the validation set data.  Results  LASSO regression identified the following variables associated with ENI after gastric cancer surgery: age, VAS score at 24 hours after surgery, time to first postoperative ambulation, distance of ambulation on postoperative day 1, postoperative complications, tumor stage, and types of antibiotics. The AUC values of the LR, RF, and SVM models were 0.768, 0.893, and 0.861, respectively, with the RF model demonstrating superior predictive performance. The risk threshold range of the RF model was 0.03 to 0.95, within which implementing targeted interventions based on the prediction results of the RF model can provide substantial net clinical benefits for ENI prevention. Using the validation set, the RF model constructed with LASSO-selected variables achieved an AUC of 0.853.  Conclusion  The prediction performances of the three models established based on machine learning algorithms were all satisfactory. In particular, the RF model demonstrated superior predictive efficiency, enabling effective assessment of ENI risk after gastric cancer surgery and reliable identification of high-risk patients.

     

  • loading
  • [1]
    中国抗癌协会肿瘤营养专业委员会, 中华医学会肠外肠内营养学分会. 胃癌患者的营养治疗专家共识[J]. 肿瘤代谢与营养电子杂志, 2023, 10(2): 208-212.

    Oncology Nutrition Professional Committee of the Chinese Anti-Cancer Association, Parenteral and Enteral Nutrition Society of the Chinese Medical Association. Expert consensus on nutritional treatment for patients with gastric cancer[J]. Journal of Tumor Metabolism and Nutrition(Electronic Edition), 2023, 10(2): 208-212.
    [2]
    ZHENG H Y, CAI L N, WANG P R, et al. Causes and impacts of interrupted enteral nutrition in critically ill patients: a secondary analysis of a cluster-randomized controlled trial[J]. Nurs Crit Care, 2025, 30(2): e70006. DOI: 10.1111/nicc.70006.
    [3]
    VAN NIEUWKOOP M M, RAMNARAIN D, POUWELS S. Enteral nutrition interruptions in the intensive care unit: a prospective study[J]. Nutrition, 2022, 96: 111580. DOI: 10.1016/j.nut.2021.111580.
    [4]
    余善招, 包益萍, 赵灵, 等. 基于机器学习算法的成人神经外科重症患者肠内营养喂养不耐受风险预测模型的构建[J]. 中华全科医学, 2025, 23(3): 414-416, 452. doi: 10.16766/j.cnki.issn.1674-4152.003916

    YU S Z, BAO Y P, ZHAO L, et al. Construction of risk prediction model of enteral feeding intolerance in severe neurosurgical patients based on machine learning algorithm[J]. Chinese Journal of General Practice, 2025, 23(3): 414-416, 452. doi: 10.16766/j.cnki.issn.1674-4152.003916
    [5]
    中华医学会肿瘤学分会, 中华医学会杂志社. 中华医学会胃癌临床诊疗指南(2021版)[J]. 中华医学杂志, 2022, 102(16): 1169-1189.

    Chinese Society of Oncology, Chinese Medical Association; Chinese Medical Association Publishing House. Chinese society of oncology clinical practice guidelines for gastric cancer (2021 edition)[J]. Chinese Medical Journal, 2022, 102(16): 1169-1189.
    [6]
    中华医学会外科学分会腹腔镜与内镜外科学组, 中国医师协会外科医师分会上消化道外科医师专家工作组, 《中华消化外科杂志》编辑委员会. 精准胃癌外科诊疗中国专家共识(2024版)[J]. 中华消化外科杂志, 2024, 23(3): 323-333.

    Laparoscopic and Endoscopic Surgery Group, Chinese Society of Surgery, Chinese Medical Association, Expert Working Group on Upper Gastrointestinal Surgery, Chinese College of Surgeons, Chinese Medical Doctor Association, Editorial Board of Chinese Journal of Digestive Surgery. Chinese expert consensus on precision surgical diagnosis and treatment of gastric cancer (2024 edition)[J]. Chinese Journal of Digestive Surgery, 2024, 23(3): 323-333.
    [7]
    中华医学会肠外肠内营养学分会. 中国成人患者肠外肠内营养临床应用指南(2023版)[J]. 中华医学杂志, 2023, 103(13): 946-974.

    Parenteral and Enteral Nutrition Society, Chinese Medical Association. Guideline for clinical application of parenteral and enteral nutrition in adults patients in China (2023 edition)[J]. Chinese Medical Journal, 2023, 103(13): 946-974.
    [8]
    MUSCARITOLI M, ARENDS J, BACHMANN P, et al. ESPEN practical guideline: Clinical Nutrition in cancer[J]. Clin Nutr, 2021, 40(5): 2898-2913. doi: 10.1016/j.clnu.2021.02.005
    [9]
    LI Y, ZENG X, ZHOU L. Ultrasound-guided peripheral nerve radiofrequency ablation for craniofacial postherpetic neuralgia: efficacy and safety in a retrospective cohort[J]. J Clin Neurosci, 2025, 138: 111408. DOI: 10.1016/j.jocn.2025.111408.
    [10]
    XU Y Y, HU Q Y, PEI D D, et al. Construction of a preoperative emotional state and postoperative intra-abdominal pressure based prediction model for early enteral feeding intolerance in postoperative patients with gastric cancer[J]. Front Nutr, 2024, 11: 1480390. DOI: 10.3389/fnut.2024.1480390.
    [11]
    LIU Z K, MA W X, ZHANG J J, et al. Risk factor analysis and establishment of a predictive model for complications of elderly advanced gastric cancer with Clavien-Dindo classification≥Ⅱ grade[J]. BMC Cancer, 2024, 24(1): 1185-1198. doi: 10.1186/s12885-024-12965-5
    [12]
    徐燕飞, 王寿华, 施伟斌, 等. 口服肠内营养粉剂及综合干预促进胃癌术后康复的临床疗效[J]. 新医学, 2022, 53(11): 838-841.

    XU Y F, WANG S H, SHI W B, et al. The clinical efficacy of oral enteral nutrition powder and comprehensive intervention in promoting postoperative recovery after gastric cancer surgery[J]. Journal of New Medicine, 2022, 53(11): 838-841.
    [13]
    李粉红, 卫亚楠, 吴梦丽, 等. 加速康复外科理念在老年头颈癌病人围术期营养管理中的应用实践[J]. 实用老年医学, 2025, 39(2): 134-138.

    LI F H, WEI Y N, WU M L, et al. Enhanced recovery after surgery (ERAS) principles in nutritional management for elderly patients with head and neck cancer perioperatively[J]. Practical Geriatrics, 2025, 39(2): 134-138.
    [14]
    WANG J, WANG L, ZHAO M, et al. Effect of early enteral nutrition support combined with chemotherapy on related complications and immune function of patients after radical gastrectomy[J]. J Healthc Eng, 2022: 1531738. DOI: 10.1155/2022/1531738.
    [15]
    HUA X, LIU Y, ZHOU Y. Clinical effect of tumor-specific total nutrients in patients with adjuvant chemotherapy after radical gastric cancer resection: a randomized controlled trial[J]. J Gastrointest Cancer, 2024, 55(2): 845-851. doi: 10.1007/s12029-024-01029-3
    [16]
    CHERNEVSKAYA E, BELOBORODOVA N, KLIMENKO N, et al. Serum and fecal profiles of aromatic microbial metabolites reflect gut microbiota disruption in critically ill patients: a prospective observational pilot study[J]. Crit Care, 2020, 24(1): 312-324. doi: 10.1186/s13054-020-03031-0
    [17]
    李海菊, 李龙倜, 王娜, 等. 重型颅脑损伤患者喂养不耐受的影响因素分析[J]. 重庆医学, 2025, 54(1): 172-175, 180.

    LI H J, LI L T, WANG N, et al. Analysis on influencing factors of feeding intolerance in patients with severe traumatic brain injury[J]. Chongqing Medicine, 2025, 54(1): 172-175, 180.
  • 加载中

Catalog

    通讯作者: 陈斌, bchen63@163.com
    • 1. 

      沈阳化工大学材料科学与工程学院 沈阳 110142

    1. 本站搜索
    2. 百度学术搜索
    3. 万方数据库搜索
    4. CNKI搜索

    Figures(5)  / Tables(3)

    Article Metrics

    Article views (19) PDF downloads(0) Cited by()
    Proportional views
    Related

    /

    DownLoad:  Full-Size Img  PowerPoint
    Return
    Return